受邀者注册
登录
论坛
搜索
帮助
邀请码
关于我们
疾控家园
»
卫生检验
» 向各位请教:如何计算几何平均滴度(GMT)
返回列表
发帖
向各位请教:如何计算几何平均滴度(GMT)
风平浪静
发短消息
加为好友
风平浪静
(★CDC★风^ō^平)
当前离线
疾控人
UID
16751
帖子
3116
精华
15
积分
200799
阅读权限
250
来自
广东
在线时间
730 小时
注册时间
2006-9-6
最后登录
2019-12-26
管理员
1
#
跳转到
»
发表于 2007-8-8 12:17
|
显示全部帖子
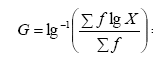
求平均滴度的倒数为以下公式:
下载
(19.3 KB)
向各位请教:如何计算几何平均滴度(GMT)
2007-8-8 12:17
加强基层疾控队伍建设,
共创疾控事业辉煌明天!
TOP
返回列表
传染病控制
热点讨论
学习进修就业园地
公众健康
精品厅堂
管理事务
电脑房
疾控信息化
疾控2025
热点讨论
国家基本公共卫生服务
学习进修就业园地
专题
疾控信息化
绩效考核
突发公共卫生事件应急管理
疾病控制
传染病控制
新型冠状病毒肺炎
肺结核
性病与艾滋病
流感大流行应对
公众健康
慢病与伤害
卫生检验
健康教育促进
疾控机构建设与管理
卫生法律法规
生活庭院
雨花阁
电脑房
精品厅堂
家园管理
管理事务
家园发展研讨房
[收藏此主题]
[关注此主题的新回复]
[通过 QQ、MSN 分享给朋友]